Introduction: Cytogenetics and next generation sequencing (NGS) have become standard of care for initial diagnosis for patients (pts) with acute myeloid leukemia (AML). Obesity rates in the United States continue to rise and the relationship of obesity to outcomes and NGS results in AML is not well defined. This study analyzed if body mass index (BMI) at diagnosis was correlated with the number or type of myeloid mutations seen on initial NGS and whether obesity influenced outcomes stratified by individual mutations.
Methods: Adult pts newly diagnosed with AML at the University of Virginia from 3/2015 to 4/2020 who had cytogenetics and NGS panel completed prior to initiation to therapy were included. Pts without initial diagnostic information or incomplete diagnostic information were excluded. AML disease characteristics, treatment type, and comorbidities were assessed including weight, height, BMI (categories defined per CDC) at the time of diagnosis. The primary aim of this analysis was to test the association of BMI with the number and type of mutations on NGS panel at diagnosis. A logistic regression model was used to explore the relationship between 9 mutations of interest including NPM1, FLT3, TP53, RUNX1, ASXL1, IDH1,IDH2, TET2, and DNMT3A. Spearman's rank correlation test was used to investigate impact of BMI on number of mutations found on NGS. Non parametric tests using Mann-Whitney-U to explore the relationship between type of mutation and BMI. An alpha level ≤ 0.05 was used to determine significance. Relapse free survival (RFS) was estimated for the different BMI groups by the Kaplan-Meier method.
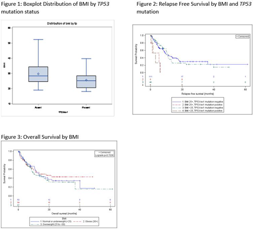
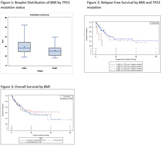
Results: 176 AML pts met inclusion criteria with a median age of 66 (range 18-95) and 60.2% (n=106) were male. The median weight was 83.6 kg and median BMI at diagnosis was 28 kg/m2 (range 18.1-52.4). There were 54 pts in the normal or underweight category (30.7%), 59 pts in the overweight category (33.5%), 63 pts in the obese class (35.8%). By ELN criteria, 10.2% pts were favorable (n=18), 42% pts were intermediate (n=74), and 47.7% pts were adverse (n=84). The majority of pts received induction with anthracycline and cytarabine (66.5%, n=117), 21% patients received a hypomethylating agent (HMA) (n=37), and 12.5% of patients received palliative care or low intensity treatment (n=22).)There was no difference in the median number of mutations across BMI groups with a spearman correlation of -0.1 (p value 0.2, Figure 1) with a median number of 2 mutations across all weight groups. Patients in underweight or normal weight groups were more likely to have a TP53 mutation than patients in higher weight classes HR 3.5 (95% CI 1.7-7.3; p = 0.04, Figure 1). BMI did not predict presence of the other 8 mutations. TP53 mutation status was associated with decreased RFS and OS as expected, specifically there was no protective effect of BMI on TP53. However, obese and overweight TP53 negative patients trended better with improved RFS and OS compared to the lower weight classes (Figure 2). When risk stratified for BMI alone, patients with higher BMIs had an improved trend in RFS and OS (Figure 3).
Conclusion: BMI in pts with newly diagnosed AML does not appear to predict for the gross number of NGS mutations. However, TP53 mutations occurred more often in patients with low or normal BMI compared to overweight patients. Obese and overweight patients trended with improved RFS and OS compared to the lower weight classes. Prospective and larger retrospective studies are needed to expand on the findings that BMI may have unexplored potential in stratifying AML pts at diagnosis.
Keng:Agios: Other.
Author notes
Asterisk with author names denotes non-ASH members.

This feature is available to Subscribers Only
Sign In or Create an Account Close Modal